Garantía

Bienvenidos a la sección de Garantía, Aquí puede generar reportes, ver su estatus, descargar formatos y mucho más.

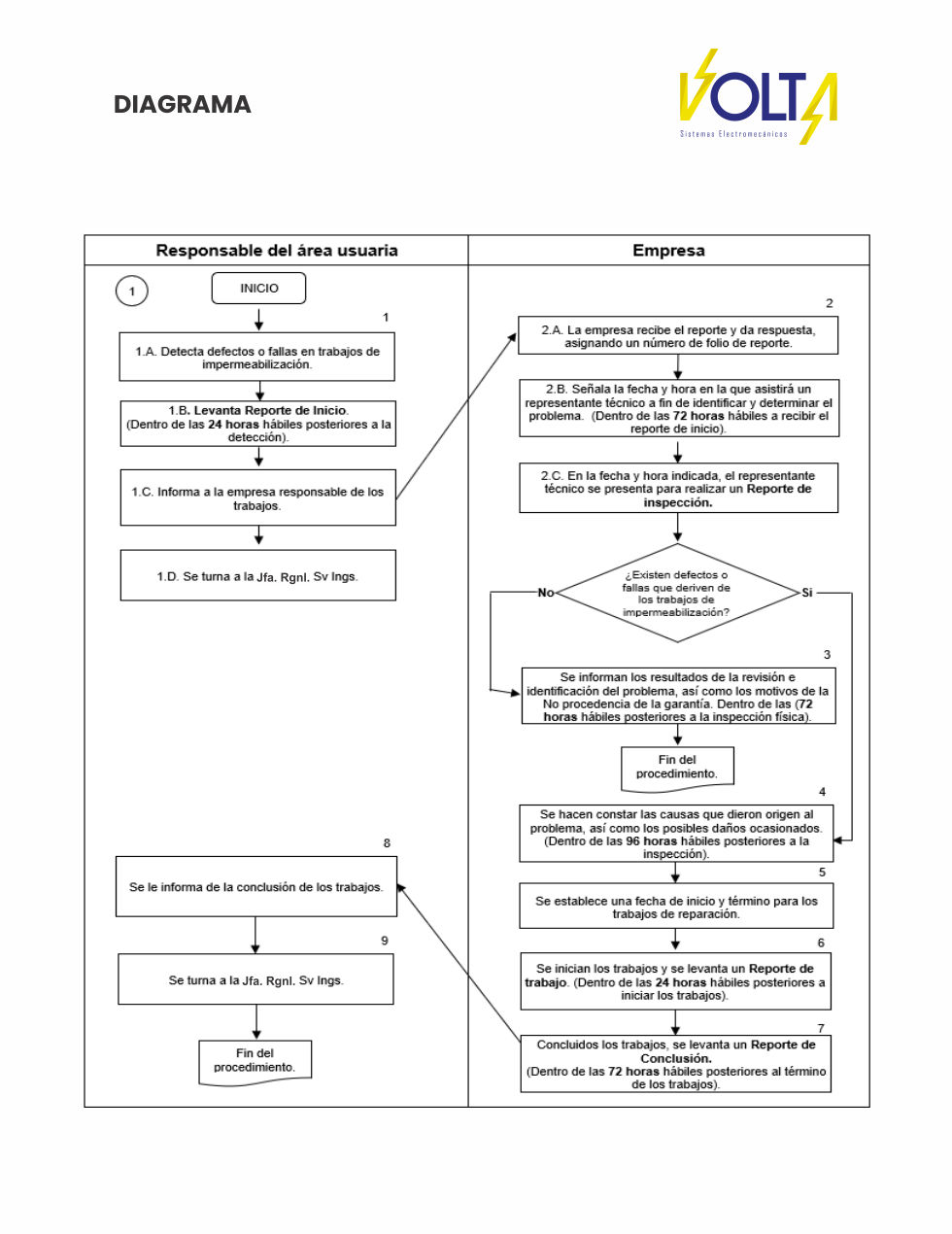
Formatos para Proceso de Garantía

Reporte de
Inicio

Reporte de
Inspección

Informe de
Trabajo

Informe de
Conclusión

Pasos para envíar su Reporte

01.
Descarga
Descarga el formato que requieras para el debido proceso de aplicación de garantía
02.
Completar
Completa el formato y prepara la documentación que se solicite
03.
Subir
Diríjase al organismo donde requiera la atención, llene el formulario, adjunte su reporte y demás documentación
04.
ID Ticket
Al enviar su documentación se generará un ID de ticket, con el cual dará seguimiento a su reporte

Contáctenos

Estamos aquí para responder sus preguntas y ayudarle con sus necesidades de servicios profesionales. Contáctenos hoy para una consulta inicial.

Domicilio

Oficina 55, Jose María Castorena No.324 Int.111, Cuajimalpa de Morelos

Teléfono

667 191 0605

E-mail

arnulfopg@gmail.com